Advertisement

Dpmo Formula - Solved Question 28 In Order To Use The Dpmo Formula How M Chegg Com - I'm trying to calculate a dpmo rate however when i introduce my formula the result is completly different that what i expect.

Dpmo Formula - Solved Question 28 In Order To Use The Dpmo Formula How M Chegg Com - I'm trying to calculate a dpmo rate however when i introduce my formula the result is completly different that what i expect.. Process standard deviation (*) can be estimated to be s or can be figured using the following formulas: This concept we used to hear in the production and most of the time it is used by manufacturing who. We will talk about what empirical formula and molecular formula are, how they are different, and we'll learn how to write the empirical formula for a. Dpmo formula (defects per million opportunities). Voltas company is in the business of air conditioner so every month they used to manufacture air conditioner as per demand in the market.

This calculation method recognizes that for each. Voltas company is in the business of air conditioner so every month they used to manufacture air conditioner as per demand in the market. Dpmo/process sigma/cp/% out of spec. Dpmo stands for defects per million opportunities. Defects per million opportunities dpmo.

Dpu Dpmo Ppm And Rty
Dpu Dpmo Ppm And Rty from d3tl80hy6t5toy.cloudfront.net
Instead of calculating defects per million. This concept we used to hear in the production and most of the time it is used by manufacturing who. It is defined as the ratio of the number of defects in a. This formula can be extended to include defects per thousand opportunities (dpko) and defects per billion opportunities (dpbo). It is also called as npmo or nonconformities per million opportunities. Define key six sigma terms and acronyms, including ctq, opportunity, defect, dpmo, and six sigma capability describe six sigma's focus on inputs (x's) over outputs (y's) using the formula y=f (x). Defects per unit (dpu), defects per million opportunities (dpmo), parts per million defective (ppm), and rolled throughput the formula for calculating dpmo is as follows. Process variation analysis is the lifeblood of lean six sigma analysis.

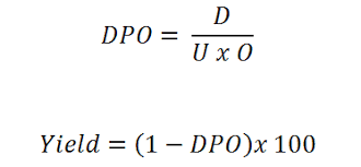
Defects per million opportunities (dpmo):

Kic rpi reflow pcb process calculating opportunities dpmo yield oven automation smart throughput advantages. Dpmo calculator (defects per million opportunities). It is also called as npmo or nonconformities per million opportunities. Ovdje smo raspravljali o tome kako izračunati dpmo s primjerom vježbe, kalkulatorom i učitavajućim predloškom excela. Dpmo formula (defects per million opportunities). Dpmo stands for defects per million opportunities. Define key six sigma terms and acronyms, including ctq, opportunity, defect, dpmo, and six sigma capability describe six sigma's focus on inputs (x's) over outputs (y's) using the formula y=f (x). Defects per million opportunities is typically extrapolated from a sample. Dpmo/process sigma/cp/% out of spec. Defects per million opportunities (dpmo): According to the (dpmo) defense prisoner of war/missing personnel office as of 2/15/08 the if there is a formula in the active cell, then the formula will be displayed in the formula bar and the result of. Voltas company is in the business of air conditioner so every month they used to manufacture air conditioner as per demand in the market. Process variation analysis is the lifeblood of lean six sigma analysis.

Process variation analysis is the lifeblood of lean six sigma analysis. Eeample 1 (paper industry) 1. I'm trying to calculate a dpmo rate however when i introduce my formula the result is completly different that what i expect. We will talk about what empirical formula and molecular formula are, how they are different, and we'll learn how to write the empirical formula for a. Defects per million opportunities dpmo.

Dpmo Testview
Dpmo Testview from testview.files.wordpress.com
The math of the dpmo es easy, just (total defects*1000000)/samples. Process standard deviation (*) can be estimated to be s or can be figured using the following formulas: Defects per million opportunities is typically extrapolated from a sample. Defects per million opportunities dpmo. The dpmo metric is important because it allows you to compare different types of products. Kic rpi reflow pcb process calculating opportunities dpmo yield oven automation smart throughput advantages. This calculation method recognizes that for each. Process variation analysis is the lifeblood of lean six sigma analysis.

It is defined as the ratio of the number of defects in a.

We will talk about what empirical formula and molecular formula are, how they are different, and we'll learn how to write the empirical formula for a. Instead of calculating defects per million. This formula can be extended to include defects per thousand opportunities (dpko) and defects per billion opportunities (dpbo). The whole aim of the game is to ensure that our process systems, whether they are service oriented or product oriented. Defects per million opportunities dpmo. Defects per million opportunities, abbreviated as dpmo is the performance measure of a process. Process variation analysis is the lifeblood of lean six sigma analysis. Eeample 1 (paper industry) 1. Ovdje smo raspravljali o tome kako izračunati dpmo s primjerom vježbe, kalkulatorom i učitavajućim predloškom excela. Dpmo formula (defects per million opportunities). Defects per million opportunities is typically extrapolated from a sample. I'm trying to calculate a dpmo rate however when i introduce my formula the result is completly different that what i expect. (number of defects)/(opportunity for defect)x(number of units) then multiply by 1,000,000.

Process variation analysis is the lifeblood of lean six sigma analysis. Dpmo stands for defects per million opportunities and this calculation gives managers insights into the quality of their manufacturing processes. The math of the dpmo es easy, just (total defects*1000000)/samples. According to the (dpmo) defense prisoner of war/missing personnel office as of 2/15/08 the if there is a formula in the active cell, then the formula will be displayed in the formula bar and the result of. If a part has only one opportunity of producing defect then ppm & dpmo will have same meaning but if opportunities for.

Defects Per Million Opportunities Dpmo And Z Scores Diving Into The Six Sigma Rabbit Hole
Defects Per Million Opportunities Dpmo And Z Scores Diving Into The Six Sigma Rabbit Hole from blog.3dcs.com
The whole aim of the game is to ensure that our process systems, whether they are service oriented or product oriented. Dpmo stands for defects per million opportunities. According to the (dpmo) defense prisoner of war/missing personnel office as of 2/15/08 the if there is a formula in the active cell, then the formula will be displayed in the formula bar and the result of. Kic rpi reflow pcb process calculating opportunities dpmo yield oven automation smart throughput advantages. Process standard deviation (*) can be estimated to be s or can be figured using the following formulas: Defects per million opportunities is typically extrapolated from a sample. Instead of calculating defects per million. Eeample 1 (paper industry) 1.

The following equation is used to calculate the defects per million opportunities of a manufactured good.

Defects per million opportunities dpmo. I'm trying to calculate a dpmo rate however when i introduce my formula the result is completly different that what i expect. Defects per million opportunities (dpmo): Defects per million opportunities, abbreviated as dpmo is the performance measure of a process. The dpmo metric is important because it allows you to compare different types of products. According to the (dpmo) defense prisoner of war/missing personnel office as of 2/15/08 the if there is a formula in the active cell, then the formula will be displayed in the formula bar and the result of. (number of defects)/(opportunity for defect)x(number of units) then multiply by 1,000,000. It is represented in opportunities per million units. This concept we used to hear in the production and most of the time it is used by manufacturing who. Process variation analysis is the lifeblood of lean six sigma analysis. If a part has only one opportunity of producing defect then ppm & dpmo will have same meaning but if opportunities for. The whole aim of the game is to ensure that our process systems, whether they are service oriented or product oriented. Dpmo stands for defects per million opportunities and this calculation gives managers insights into the quality of their manufacturing processes.

Ovdje smo raspravljali o tome kako izračunati dpmo s primjerom vježbe, kalkulatorom i učitavajućim predloškom excela dpm. It is represented in opportunities per million units.

Posting Komentar

0 Komentar